Correlations between copy number and mRNA expression
Colon Adenocarcinoma (Primary solid tumor)
22 February 2013  |  analyses__2013_02_22
Maintainer Information
Citation Information
Maintained by John Zhang (MD Anderson Cancer Center)
Cite as Broad Institute TCGA Genome Data Analysis Center (2013): Correlations between copy number and mRNA expression. Broad Institute of MIT and Harvard. doi:10.7908/C1CZ35C8
Overview
Introduction

A TCGA sample is profiled to detect the copy number variations and expressions of genes. This pipeline attempts to correlate copy number and expression data of genes across samples to determine if the copy number variations also result in differential expressions. This report contains the calculated correlation coefficients based on measurements of genomic copy number (log2) values and intensity of the expressions of the corresponding feature across patients. High positive/low negative correlation coefficients indicate that genomic alterations result in differences in the expressions of mRNA the genomic regions transcribe.

Summary

The correlation coefficients in 10, 20, 30, 40, 50, 60, 70, 80, 90 percentiles are -0.05079, 0.0126, 0.06483, 0.1219, 0.1874, 0.2617, 0.33547, 0.41338, 0.50729, respectively.

Results
Correlation results

Number of genes and samples used for the calculation are shown in Table 1. Figure 1 shows the distribution of calculated correlation coefficients and quantile-quantile plot of the calculated correlation coefficients against a normal distribution. Table 2 shows the top 20 features ordered by the value of correlation coefficients.

Table 1.  Counts of mRNA and number of samples in copy number and expression data sets and common to both

Category Copy number Expression Common
Sample 413 155 148
Genes 24174 17815 15702

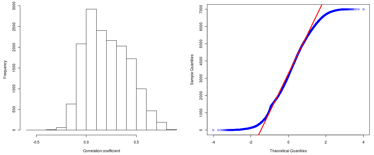
Figure 1.  Summary figures. Left: histogram showing the distribution of the calculated correlations across samples for all Genes. Right: QQ plot of the calculated correlations across samples. The QQ plot is used to plot the quantiles of the calculated correlation coefficients against that derived from a normal distribution. Points deviating from the blue line indicate deviation from normality.

Table 2.  Get Full Table Top 20 features (defined by the feature column) ranked by correlation coefficients

feature r p-value q-value chrom start end geneid
CSNK2A1 0.8453 0 0 1457 20p13 -0.201 0.504
PSMF1 0.8391 0 0 9491 20p13 -0.201 0.504
SMARCE1 0.8354 0 0 6605 17q21.2 0.039 -0.260
CDC16 0.8334 0 0 8881 13q34 0.948 0.758
CUL4A 0.8333 0 0 8451 13q34 0.948 0.758
CRNKL1 0.831 0 0 51340 20p11.23 2.081 0.504
SAP18 0.8235 0 0 10284 13q12.11 0.951 0.674
C20orf111 0.8171 0 0 51526 20q13.12 1.860 1.306
YTHDF1 0.8151 0 0 54915 20q13.33 1.860 1.306
C20orf43 0.8132 0 0 51507 20q13.31 1.860 1.306
PUF60 0.8102 0 0 22827 8q24.3 1.015 0.894
ERBB2 0.81 0 0 2064 17q12 0.039 -0.260
ENTPD6 0.8086 0 0 955 20p11.21 0.640 0.504
SNRPB2 0.8086 0 0 6629 20p12.1 1.215 0.504
TRMT6 0.8076 0 0 51605 20p12.3 -0.201 0.504
SERINC3 0.8021 0 0 10955 20q13.12 1.860 1.306
RNF6 0.7991 0 0 6049 13q12.13 0.951 0.674
POLR3F 0.7981 0 0 10621 20p11.23 -0.224 0.504
DPM1 0.7976 0 0 8813 20q13.13 1.860 1.306
PCID2 0.7974 0 0 55795 13q34 0.948 0.758
Methods & Data
Input

Gene level (TCGA Level III) expression data and copy number data of the corresponding loci derived by using the CNTools package of Bioconductor were used for the calculations. Pearson correlation coefficients were calculated for each pair of genes shared by the two data sets across all the samples that were common.

Correlation across sample

Pairwise correlations between the log2 copy numbers and expressions of each gene across samples were calculated using Pearson correlation.

Download Results

This is an experimental feature. The full results of the analysis summarized in this report can be downloaded from the TCGA Data Coordination Center.