Correlation between mRNA expression and DNA methylation
Brain Lower Grade Glioma (Primary solid tumor)
22 February 2013  |  analyses__2013_02_22
Maintainer Information
Citation Information
Maintained by Richard Park (Boston University/Harvard Medical School)
Cite as Broad Institute TCGA Genome Data Analysis Center (2013): Correlation between mRNA expression and DNA methylation. Broad Institute of MIT and Harvard. doi:10.7908/C1FJ2F16
Overview
Introduction

The role of general epigenetic mechanisms in carcinogenesis and tumor aggressiveness is well documented: CpG island hyper-methylation silences tumor suppressor genes, whereas hypo-methylation promotes the transcriptional activation of oncogenes and induces chromosomal instability. This pipeline calculates and identifies correlations between DNA methylation and gene expression profiles using the available array technologies.

Summary

The top 25 correlated methylation probes per gene are displayed. Total number of matched samples = 174. Number of gene expression samples = 220. Number of methylation samples = 174.

Results
Correlation Histogram

Figure 1.  Histogram of methylation correlation values. n is the number of matched samples between Level 3 CpG site methylation and Level 3 gene expression arrays. Number of Matched Samples = 174

Qvalue Summary Plots

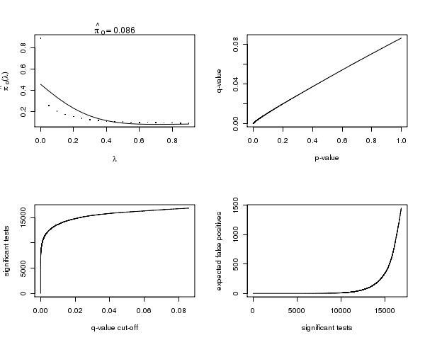
Figure 2.  Plot 1. The estimated pi_0 versus the tuning parameter lambda. Plot 2. The q-values versus the p-values. Plot 3. The number of significant tests versus each q-value cutoff. Plot 4. The number of expected false positives versus the number of significant tests.The first is a plot of the estimate of pi_0 versus its tuning parameter lambda. In most cases, as lambda gets larger, the bias of the estimate decreases, yet the variance increases. Comparing your estimate of pi_0 to this plot allows one to guage its quality. The remaining three plots show how many tests are significant, as well as how many false positives to expect for each q-value cut-off.

Negative Correlation between Methylation and Gene Expression

Table 1.  Get Full Table Top 25 most negatively correlated methylation probes. Correlation Coefficient: See Methods & Data below. Pval and Qval: P- and Q-values of the correlation coefficient. Expression Mean: mean detection level of gene expression probes. Methylation Mean: mean detection level of CpG methylation probes.

Meth_Probe Gene Chrom Position Corr_Coeff Pval Qval Expr_Mean Meth_Mean
cg21550016 LOC654433 2 113992930 -0.92 0 0 NA 0.842612
cg21550016 PAX8 2 113992930 -0.92 0 0 NA 0.842612
cg23666378 KIAA0495 1 3663164 -0.9 0 0 7.5904 0.593097
cg09721739 NMNAT3 3 139396924 -0.9 0 0 5.8390 0.563747
cg27240008 MBP 18 74728834 -0.9 0 0 14.4751 0.837249
cg19775206 C14orf86 14 94393718 -0.88 0 0 NA 0.743203
cg11187916 ANKRD35 1 145562715 -0.87 0 0 6.7008 0.431624
cg16662267 CBR1 21 37442759 -0.87 0 0 9.9420 0.521306
cg19775206 FAM181A 14 94393718 -0.86 0 0 NA 0.743203
cg01191114 SLC25A20 3 48936118 -0.86 0 0 7.7753 0.417571
cg04274978 KHNYN 14 24899054 -0.85 0 0 8.4247 0.631171
cg20809881 XKR8 1 28286102 -0.85 0 0 6.2102 0.573793
cg00056767 CCDC122 13 44453183 -0.85 3e-50 2.3e-50 3.3956 0.575716
cg19257200 SOX10 22 38380983 -0.85 0 0 9.1752 0.772728
cg20885179 VILL 3 38035831 -0.84 0 0 6.1542 0.505473
cg07325562 SLC25A45 11 65150083 -0.84 0 0 5.3549 0.668703
cg19474239 N6AMT2 13 21348215 -0.84 0 0 6.3449 NA
cg17739279 FAM50B 6 3849190 -0.84 0 0 6.6449 0.854829
cg25903497 TMBIM1 2 219157103 -0.84 0 0 10.2530 0.570955
cg26614816 EID3 12 104697532 -0.83 0 0 3.4748 0.613636
cg18316613 C7orf46 7 23719636 -0.83 0 0 6.4279 0.602314
cg13912673 C9orf64 9 86571904 -0.83 0 0 6.8215 0.505759
cg02304092 FLJ44606 5 126409227 -0.83 0 0 3.7889 0.511059
cg05579030 PCDHB5 5 140515039 -0.83 0 0 7.8415 0.516698
cg16802508 SSH3 11 67070738 -0.83 0 0 6.9772 0.694483
cg07326438 SLC43A3 11 57194562 -0.83 0 0 7.6868 0.561714
Methods & Data
Input

Methylation Array Platforms: Illumina Infinium HumanMethylation27, Illumina DNA Methylation OMA002, Illumina DNA Methylation OMA003

  • methylation file = /xchip/cga/gdac-prod/tcga-gdac/jobResults/GDAC_MethylationPreprocess/LGG-TP/2661957/0.GDAC_MethylationPreprocess.Finished/LGG-TP.meth.for_correlation.filtered_data.txt

Gene Expression Platforms: Agilent 244K Gene Expression G4502A-07-1, Agilent 244K Gene Expression G4502A-07-2, Agilent 244K Gene Expression G4502A-07-3, Affymetrix Human Exon 1.0 ST Array, Affymetrix HT Human Genome U133 Array

  • gene expression file = /xchip/cga/gdac-prod/tcga-gdac/jobResults/mRNAseq_preprocessor/LGG-TP/2601001/0.mRNAseq_preprocessor.Finished/LGG-TP.uncv2.mRNAseq_RSEM_normalized_log2.txt

Correlation Coefficient

Level 3 methylation and gene expression arrays were paired on the basis of Entrez Gene ID concordance. The association between CpG site methylation and the level of expression of the corresponding genes was determined by calculating a correlation measure between the two platforms.

  • correlation measure = Spearman

Download Results

This is an experimental feature. The full results of the analysis summarized in this report can be downloaded from the TCGA Data Coordination Center.