Correlation between mRNA expression and DNA methylation
Liver Hepatocellular Carcinoma (Primary solid tumor)
22 February 2013  |  analyses__2013_02_22
Maintainer Information
Citation Information
Maintained by Richard Park (Boston University/Harvard Medical School)
Cite as Broad Institute TCGA Genome Data Analysis Center (2013): Correlation between mRNA expression and DNA methylation. Broad Institute of MIT and Harvard. doi:10.7908/C1K35RVK
Overview
Introduction

The role of general epigenetic mechanisms in carcinogenesis and tumor aggressiveness is well documented: CpG island hyper-methylation silences tumor suppressor genes, whereas hypo-methylation promotes the transcriptional activation of oncogenes and induces chromosomal instability. This pipeline calculates and identifies correlations between DNA methylation and gene expression profiles using the available array technologies.

Summary

The top 25 correlated methylation probes per gene are displayed. Total number of matched samples = 34. Number of gene expression samples = 34. Number of methylation samples = 34.

Results
Correlation Histogram

Figure 1.  Histogram of methylation correlation values. n is the number of matched samples between Level 3 CpG site methylation and Level 3 gene expression arrays. Number of Matched Samples = 34

Qvalue Summary Plots

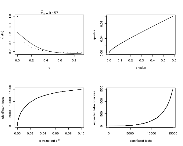
Figure 2.  Plot 1. The estimated pi_0 versus the tuning parameter lambda. Plot 2. The q-values versus the p-values. Plot 3. The number of significant tests versus each q-value cutoff. Plot 4. The number of expected false positives versus the number of significant tests.The first is a plot of the estimate of pi_0 versus its tuning parameter lambda. In most cases, as lambda gets larger, the bias of the estimate decreases, yet the variance increases. Comparing your estimate of pi_0 to this plot allows one to guage its quality. The remaining three plots show how many tests are significant, as well as how many false positives to expect for each q-value cut-off.

Negative Correlation between Methylation and Gene Expression

Table 1.  Get Full Table Top 25 most negatively correlated methylation probes. Correlation Coefficient: See Methods & Data below. Pval and Qval: P- and Q-values of the correlation coefficient. Expression Mean: mean detection level of gene expression probes. Methylation Mean: mean detection level of CpG methylation probes.

Meth_Probe Gene Chrom Position Corr_Coeff Pval Qval Expr_Mean Meth_Mean
cg21482265 LOC654433 2 113992762 -0.95 0 0 5.306 0.786965
cg10088332 GTSF1 12 54867429 -0.91 1.4e-06 0.000011 NA 0.874656
cg24046411 CYBA 16 88717646 -0.9 0 0 9.598 0.504666
cg04145765 TRIM55 8 67039461 -0.89 3.2e-07 8.5e-06 NA 0.518235
cg08862162 TAT 16 71610334 -0.89 3.3e-09 2.1e-06 11.570 0.613014
cg16408081 PTPRCAP 11 67205869 -0.89 1.2e-08 6.2e-06 6.542 0.777847
cg13640769 C14orf68 14 100789624 -0.88 5.7e-08 8.5e-06 NA 0.705173
cg20609803 FCER1G 1 161184305 -0.88 1.9e-08 8.2e-06 8.545 0.828493
cg02000606 ABCB4 7 87103624 -0.88 2.8e-08 8.5e-06 10.376 0.477210
cg18384097 PTPN7 1 202129566 -0.88 2.9e-08 8.5e-06 6.209 0.845220
cg10190509 CCL16 17 34308137 -0.88 1.7e-07 8.5e-06 NA 0.490306
cg11755245 EHHADH 3 184969918 -0.88 4e-08 8.5e-06 11.814 0.500770
cg06277277 NR1I3 1 161208307 -0.87 5.4e-08 8.5e-06 8.497 0.372724
cg01186613 ABCG5 2 44065003 -0.87 6.2e-08 8.5e-06 8.735 0.509417
cg04508216 MASP2 1 11107452 -0.87 6.5e-08 8.5e-06 9.461 0.442494
cg26880525 HSD11B1 1 209877941 -0.87 7.1e-08 8.5e-06 10.270 0.554258
cg03464896 SLC2A2 3 170744964 -0.87 7.2e-08 8.5e-06 11.535 0.522718
cg20371765 ICA1 7 8302271 -0.86 7.9e-08 8.5e-06 7.950 0.387845
cg19236559 UPB1 22 24895105 -0.86 8.2e-08 8.5e-06 10.470 0.671566
cg07906527 ETNK2 1 204116483 -0.86 8.6e-08 8.5e-06 10.436 0.568788
cg01151642 ADH1B 4 100237088 -0.86 8.7e-08 8.5e-06 13.450 0.663734
cg01186613 ABCG8 2 44065003 -0.86 2.7e-07 8.5e-06 NA 0.509417
cg19640821 LRRC25 19 18503517 -0.86 9.3e-08 8.5e-06 7.085 0.709479
cg18749404 LGALS3BP 17 76975944 -0.85 1.1e-07 8.5e-06 13.070 0.479332
cg27451508 ALDH3A1 17 19652257 -0.85 2e-07 8.5e-06 NA 0.733390
cg07136635 PELO 5 52096641 -0.85 1.2e-07 8.5e-06 9.181 0.274403
Methods & Data
Input

Methylation Array Platforms: Illumina Infinium HumanMethylation27, Illumina DNA Methylation OMA002, Illumina DNA Methylation OMA003

  • methylation file = /xchip/cga/gdac-prod/tcga-gdac/jobResults/GDAC_MethylationPreprocess/LIHC-TP/2661981/0.GDAC_MethylationPreprocess.Finished/LIHC-TP.meth.for_correlation.filtered_data.txt

Gene Expression Platforms: Agilent 244K Gene Expression G4502A-07-1, Agilent 244K Gene Expression G4502A-07-2, Agilent 244K Gene Expression G4502A-07-3, Affymetrix Human Exon 1.0 ST Array, Affymetrix HT Human Genome U133 Array

  • gene expression file = /xchip/cga/gdac-prod/tcga-gdac/jobResults/mRNAseq_preprocessor/LIHC-TP/2600426/0.mRNAseq_preprocessor.Finished/LIHC-TP.uncv2.mRNAseq_RSEM_normalized_log2.txt

Correlation Coefficient

Level 3 methylation and gene expression arrays were paired on the basis of Entrez Gene ID concordance. The association between CpG site methylation and the level of expression of the corresponding genes was determined by calculating a correlation measure between the two platforms.

  • correlation measure = Spearman

Download Results

This is an experimental feature. The full results of the analysis summarized in this report can be downloaded from the TCGA Data Coordination Center.