Correlation between mRNA expression and DNA methylation
Lung Squamous Cell Carcinoma (Primary solid tumor)
22 February 2013  |  analyses__2013_02_22
Maintainer Information
Citation Information
Maintained by Richard Park (Boston University/Harvard Medical School)
Cite as Broad Institute TCGA Genome Data Analysis Center (2013): Correlation between mRNA expression and DNA methylation. Broad Institute of MIT and Harvard. doi:10.7908/C1TB1546
Overview
Introduction

The role of general epigenetic mechanisms in carcinogenesis and tumor aggressiveness is well documented: CpG island hyper-methylation silences tumor suppressor genes, whereas hypo-methylation promotes the transcriptional activation of oncogenes and induces chromosomal instability. This pipeline calculates and identifies correlations between DNA methylation and gene expression profiles using the available array technologies.

Summary

The top 25 correlated methylation probes per gene are displayed. Total number of matched samples = 130. Number of gene expression samples = 258. Number of methylation samples = 130.

Results
Correlation Histogram

Figure 1.  Histogram of methylation correlation values. n is the number of matched samples between Level 3 CpG site methylation and Level 3 gene expression arrays. Number of Matched Samples = 130

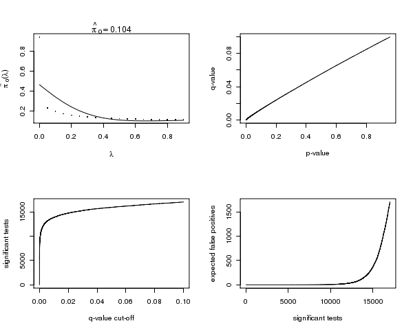
Qvalue Summary Plots

Figure 2.  Plot 1. The estimated pi_0 versus the tuning parameter lambda. Plot 2. The q-values versus the p-values. Plot 3. The number of significant tests versus each q-value cutoff. Plot 4. The number of expected false positives versus the number of significant tests.The first is a plot of the estimate of pi_0 versus its tuning parameter lambda. In most cases, as lambda gets larger, the bias of the estimate decreases, yet the variance increases. Comparing your estimate of pi_0 to this plot allows one to guage its quality. The remaining three plots show how many tests are significant, as well as how many false positives to expect for each q-value cut-off.

Negative Correlation between Methylation and Gene Expression

Table 1.  Get Full Table Top 25 most negatively correlated methylation probes. Correlation Coefficient: See Methods & Data below. Pval and Qval: P- and Q-values of the correlation coefficient. Expression Mean: mean detection level of gene expression probes. Methylation Mean: mean detection level of CpG methylation probes.

Meth_Probe Gene Chrom Position Corr_Coeff Pval Qval Expr_Mean Meth_Mean
cg06797068 DDX43 6 74104600 -0.91 0 0 NA 0.705268
cg16738971 ALDH7A1 5 125931166 -0.87 0 0 8.809 0.282538
cg12889195 PAX8 2 113992843 -0.86 0 0 5.765 0.666494
cg12889195 LOC654433 2 113992843 -0.86 0 0 7.140 0.666494
cg00032205 TSPYL5 8 98290372 -0.86 0 0 9.157 0.319075
cg05290737 GPR81 12 123215151 -0.84 0 0 NA 0.486435
cg00141162 HCLS1 3 121379777 -0.83 0 0 10.103 0.438310
cg14115220 CDH26 20 58533421 -0.83 0 0 6.038 0.712673
cg05508084 ZNF667 19 56988398 -0.83 0 0 NA 0.338663
cg02731193 GCLC 6 53407186 -0.83 0 0 11.630 0.639798
cg22958090 KRT7 12 52627438 -0.83 0 0 9.827 0.647286
cg21493505 ZNF542 19 56879418 -0.82 0 0 6.956 0.439970
cg14717314 CLEC2L 7 139227111 -0.82 0 0 NA 0.741529
cg10088332 GTSF1 12 54867429 -0.82 0 0 NA 0.837568
cg07093428 LDHC 11 18433500 -0.81 0 0 NA 0.676325
cg16996266 ARTN 1 44400868 -0.81 0 0 7.511 0.614201
cg27460547 ZNF597 16 3493681 -0.81 0 0 4.670 0.498154
cg05991820 ECHDC3 10 11785161 -0.81 0 0 6.873 0.547732
cg23484599 PAX6 11 31831137 -0.81 0 0 6.349 0.620168
cg15374435 SPRY2 13 80911692 -0.8 0 0 8.933 0.645817
cg02473540 ZNF135 19 58570454 -0.8 0 0 5.443 0.452518
cg24040502 NLRP2 19 55477810 -0.8 0 0 6.657 0.663345
cg01917209 MST1R 3 49938721 -0.8 0 0 7.440 0.781129
cg04909257 PGD 1 10462498 -0.79 0 0 12.944 0.731487
cg15839482 RPS2P32 7 23530449 -0.79 0 0 4.695 0.474703
cg13620881 SYCP2L 6 10888129 -0.79 0 0 NA 0.736116
Methods & Data
Input

Methylation Array Platforms: Illumina Infinium HumanMethylation27, Illumina DNA Methylation OMA002, Illumina DNA Methylation OMA003

  • methylation file = /xchip/cga/gdac-prod/tcga-gdac/jobResults/GDAC_MethylationPreprocess/LUSC-TP/2662149/0.GDAC_MethylationPreprocess.Finished/LUSC-TP.meth.for_correlation.filtered_data.txt

Gene Expression Platforms: Agilent 244K Gene Expression G4502A-07-1, Agilent 244K Gene Expression G4502A-07-2, Agilent 244K Gene Expression G4502A-07-3, Affymetrix Human Exon 1.0 ST Array, Affymetrix HT Human Genome U133 Array

  • gene expression file = /xchip/cga/gdac-prod/tcga-gdac/jobResults/mRNAseq_preprocessor/LUSC-TP/2624464/0.mRNAseq_preprocessor.Finished/LUSC-TP.uncv2.mRNAseq_RSEM_normalized_log2.txt

Correlation Coefficient

Level 3 methylation and gene expression arrays were paired on the basis of Entrez Gene ID concordance. The association between CpG site methylation and the level of expression of the corresponding genes was determined by calculating a correlation measure between the two platforms.

  • correlation measure = Spearman

Download Results

This is an experimental feature. The full results of the analysis summarized in this report can be downloaded from the TCGA Data Coordination Center.