Correlation between mRNA expression and DNA methylation
Adrenocortical Carcinoma (Primary solid tumor)
28 January 2016  |  analyses__2016_01_28
Maintainer Information
Citation Information
Maintained by Richard Park (Boston University/Harvard Medical School)
Cite as Broad Institute TCGA Genome Data Analysis Center (2016): Correlation between mRNA expression and DNA methylation. Broad Institute of MIT and Harvard. doi:10.7908/C1ZG6RKK
Overview
Introduction

The role of general epigenetic mechanisms in carcinogenesis and tumor aggressiveness is well documented: CpG island hyper-methylation silences tumor suppressor genes, whereas hypo-methylation promotes the transcriptional activation of oncogenes and induces chromosomal instability. This pipeline calculates and identifies correlations between DNA methylation and gene expression profiles using the available array technologies.

Summary

The top 25 correlated methylation probes per gene are displayed. Total number of matched samples = 79. Number of gene expression samples = 79. Number of methylation samples = 80.

Results
Correlation Histogram

Figure 1.  Histogram of methylation correlation values. n is the number of matched samples between Level 3 CpG site methylation and Level 3 gene expression arrays. Number of Matched Samples = 79

Qvalue Summary Plots

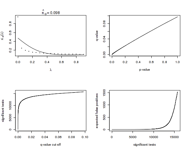
Figure 2.  Plot 1. The estimated pi_0 versus the tuning parameter lambda. Plot 2. The q-values versus the p-values. Plot 3. The number of significant tests versus each q-value cutoff. Plot 4. The number of expected false positives versus the number of significant tests.The first is a plot of the estimate of pi_0 versus its tuning parameter lambda. In most cases, as lambda gets larger, the bias of the estimate decreases, yet the variance increases. Comparing your estimate of pi_0 to this plot allows one to guage its quality. The remaining three plots show how many tests are significant, as well as how many false positives to expect for each q-value cut-off.

Negative Correlation between Methylation and Gene Expression

Table 1.  Get Full Table Top 25 most negatively correlated methylation probes. Correlation Coefficient: See Methods & Data below. Pval and Qval: P- and Q-values of the correlation coefficient. Expression Mean: mean detection level of gene expression probes. Methylation Mean: mean detection level of CpG methylation probes.

Meth_Probe Gene Chrom Position Corr_Coeff Pval Qval Expr_Mean Meth_Mean
cg16209444 ACOX2 3 58522771 -0.91 0 0 6.1 0.53
cg00903584 PTPN7 1 202128682 -0.9 0 0 6.9 0.67
cg09826056 GIPC2 1 78511360 -0.88 0 0 6.2 0.52
cg00381684 CFB 6 31913814 -0.87 0 0 6.5 0.73
cg15790214 HCG11 6 26522325 -0.86 0 0 6 0.57
cg00014112 GYPC 2 127413530 -0.85 0 0 8.8 0.3
cg05668853 RAB34 17 27044169 -0.85 0 0 8.3 0.55
cg10024587 CALHM2 10 105211753 -0.85 0 0 8.9 0.34
cg00831247 LOXL3 2 74780268 -0.85 0 0 8.1 0.52
cg00741410 TAS1R1 1 6615354 -0.84 0 0 3.4 0.59
cg11765205 ARL11 13 50202547 -0.84 0 0 4.7 0.53
cg12121660 HOXB2 17 46621709 -0.84 0 0 7.4 0.33
cg20403031 ZNF280A 22 22874590 -0.83 0 0 4.1 0.7
cg12762413 RHOU 1 228873420 -0.83 0 0 10 0.36
cg13575422 S1PR3 9 91608364 -0.83 0 0 11 0.56
cg06928838 GSTP1 11 67351490 -0.83 0 0 11 0.32
cg06911113 UBXN10 1 20512617 -0.83 0 0 6 0.31
cg16066354 APOBEC3D 22 39417451 -0.83 0 0 6.2 0.28
cg19463256 CCDC8 19 46915351 -0.83 0 0 9.1 0.53
cg16509569 NCKAP1L 12 54891634 -0.82 0 0 6.1 0.9
cg17087669 MAPK13 6 36099123 -0.82 0 0 8.7 0.41
cg26255314 CD5 11 60869910 -0.82 2.3e-20 5.2e-20 4.4 0.82
cg01032675 GNA15 19 3136430 -0.82 0 0 5.4 0.88
cg15882878 RBP5 12 7281566 -0.81 0 0 8 0.45
cg24075113 TRIP6 7 100465289 -0.81 0 0 9.4 0.32
cg24815934 ITGB2 21 46332181 -0.81 0 0 8.7 0.76
Methods & Data
Input

Methylation Array Platforms: Illumina Infinium HumanMethylation27, Illumina Infinium HumanMethylation450, Illumina DNA Methylation OMA002, Illumina DNA Methylation OMA003

  • methylation file = /xchip/cga/gdac-prod/tcga-gdac/jobResults/GDAC_MethylationPreprocess/ACC-TP/22312707/ACC-TP.meth.by_min_expr_corr.data.txt

Gene Expression Platforms: Agilent 244K Gene Expression G4502A-07-1, Agilent 244K Gene Expression G4502A-07-2, Agilent 244K Gene Expression G4502A-07-3, Affymetrix Human Exon 1.0 ST Array, Affymetrix HT Human Genome U133 Array

  • gene expression file = /xchip/cga/gdac-prod/tcga-gdac/jobResults/mRNAseq_preprocessor/ACC-TP/22309268/ACC-TP.uncv2.mRNAseq_RSEM_normalized_log2.txt

Correlation Coefficient

Level 3 methylation and gene expression arrays were paired on the basis of Entrez Gene ID concordance. The association between CpG site methylation and the level of expression of the corresponding genes was determined by calculating a correlation measure between the two platforms.

  • correlation measure = Spearman

Download Results

In addition to the links below, the full results of the analysis summarized in this report can also be downloaded programmatically using firehose_get, or interactively from either the Broad GDAC website or TCGA Data Coordination Center Portal.