Correlation between mRNA expression and DNA methylation
Lymphoid Neoplasm Diffuse Large B-cell Lymphoma (Primary solid tumor)
28 January 2016  |  analyses__2016_01_28
Maintainer Information
Citation Information
Maintained by Richard Park (Boston University/Harvard Medical School)
Cite as Broad Institute TCGA Genome Data Analysis Center (2016): Correlation between mRNA expression and DNA methylation. Broad Institute of MIT and Harvard. doi:10.7908/C1PG1R3X
Overview
Introduction

The role of general epigenetic mechanisms in carcinogenesis and tumor aggressiveness is well documented: CpG island hyper-methylation silences tumor suppressor genes, whereas hypo-methylation promotes the transcriptional activation of oncogenes and induces chromosomal instability. This pipeline calculates and identifies correlations between DNA methylation and gene expression profiles using the available array technologies.

Summary

The top 25 correlated methylation probes per gene are displayed. Total number of matched samples = 48. Number of gene expression samples = 48. Number of methylation samples = 48.

Results
Correlation Histogram

Figure 1.  Histogram of methylation correlation values. n is the number of matched samples between Level 3 CpG site methylation and Level 3 gene expression arrays. Number of Matched Samples = 48

Qvalue Summary Plots

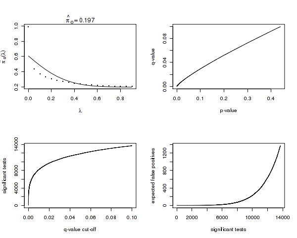
Figure 2.  Plot 1. The estimated pi_0 versus the tuning parameter lambda. Plot 2. The q-values versus the p-values. Plot 3. The number of significant tests versus each q-value cutoff. Plot 4. The number of expected false positives versus the number of significant tests.The first is a plot of the estimate of pi_0 versus its tuning parameter lambda. In most cases, as lambda gets larger, the bias of the estimate decreases, yet the variance increases. Comparing your estimate of pi_0 to this plot allows one to guage its quality. The remaining three plots show how many tests are significant, as well as how many false positives to expect for each q-value cut-off.

Negative Correlation between Methylation and Gene Expression

Table 1.  Get Full Table Top 25 most negatively correlated methylation probes. Correlation Coefficient: See Methods & Data below. Pval and Qval: P- and Q-values of the correlation coefficient. Expression Mean: mean detection level of gene expression probes. Methylation Mean: mean detection level of CpG methylation probes.

Meth_Probe Gene Chrom Position Corr_Coeff Pval Qval Expr_Mean Meth_Mean
cg24040502 NLRP2 19 55477810 -0.93 0 0 7 0.71
cg01312482 ZNF879 5 178451176 -0.91 0 0 4.5 0.58
cg01848457 EID3 12 104697983 -0.91 0 0 5.3 0.44
cg05392364 DNAJA4 15 78556860 -0.91 0 0 8 0.33
cg14556070 ZNF256 19 58458917 -0.91 0 0 6.1 0.25
cg20451226 ZNF155 19 44488181 -0.9 0 0 6.1 0.4
cg08095700 EHHADH 3 184972153 -0.88 0 0 6.8 0.46
cg00007269 ZNF77 19 2945106 -0.88 0 0 5.1 0.24
cg16452866 BCL11B 14 99655676 -0.88 0 0 7.7 0.78
cg07058027 CYB5R2 11 7694188 -0.88 0 0 8.5 0.61
cg12060744 ZIK1 19 58095581 -0.88 0 0 5.5 0.44
cg12961842 ZNF418 19 58446758 -0.87 0 0 4.6 0.44
cg03153658 ZNF470 19 57078442 -0.87 0 0 5.7 0.32
cg15708153 ZNF542 19 56879554 -0.87 0 0 6.6 0.42
cg24612198 CD3E 11 118175631 -0.86 0 0 10 0.78
cg05724871 L3MBTL4 18 6414446 -0.86 0 0 5.1 0.36
cg15322783 ZNF568 19 37407152 -0.86 0 0 5 0.3
cg09267217 ZNF528 19 52900980 -0.85 0 0 5.7 0.3
cg01384143 C3orf14 3 62304554 -0.85 0 0 5.8 0.39
cg18211706 GTSF1 12 54867332 -0.85 0 0 8.1 0.6
cg08221207 FEZ1 11 125366421 -0.85 0 0 8.4 0.26
cg13865352 IMPACT 18 22006621 -0.85 0 0 7.6 0.5
cg08651584 GAS8 16 90088897 -0.85 0 0 6.2 0.4
cg11763394 PAX8 2 113992921 -0.84 0 0 5.8 0.73
cg14024461 HIST3H2A 1 228646047 -0.84 0 0 3.6 0.39
cg26410484 CHFR 12 133464646 -0.84 0 0 9.6 0.19
Methods & Data
Input

Methylation Array Platforms: Illumina Infinium HumanMethylation27, Illumina Infinium HumanMethylation450, Illumina DNA Methylation OMA002, Illumina DNA Methylation OMA003

  • methylation file = /xchip/cga/gdac-prod/tcga-gdac/jobResults/GDAC_MethylationPreprocess/DLBC-TP/22318423/DLBC-TP.meth.by_min_expr_corr.data.txt

Gene Expression Platforms: Agilent 244K Gene Expression G4502A-07-1, Agilent 244K Gene Expression G4502A-07-2, Agilent 244K Gene Expression G4502A-07-3, Affymetrix Human Exon 1.0 ST Array, Affymetrix HT Human Genome U133 Array

  • gene expression file = /xchip/cga/gdac-prod/tcga-gdac/jobResults/mRNAseq_preprocessor/DLBC-TP/22315376/DLBC-TP.uncv2.mRNAseq_RSEM_normalized_log2.txt

Correlation Coefficient

Level 3 methylation and gene expression arrays were paired on the basis of Entrez Gene ID concordance. The association between CpG site methylation and the level of expression of the corresponding genes was determined by calculating a correlation measure between the two platforms.

  • correlation measure = Spearman

Download Results

In addition to the links below, the full results of the analysis summarized in this report can also be downloaded programmatically using firehose_get, or interactively from either the Broad GDAC website or TCGA Data Coordination Center Portal.