Clustering of RPPA data: consensus NMF
Cholangiocarcinoma (Primary solid tumor)
28 January 2016  |  analyses__2016_01_28
Maintainer Information
Citation Information
Maintained by TCGA GDAC Team (Broad Institute/MD Anderson Cancer Center/Harvard Medical School)
Cite as Broad Institute TCGA Genome Data Analysis Center (2016): Clustering of RPPA data: consensus NMF. Broad Institute of MIT and Harvard. doi:10.7908/C1DN44DW
Overview
Introduction

This pipeline calculates clusters based on a consensus non-negative matrix factorization (NMF) clustering method , . This pipeline has the following features:

  1. Convert input data set to a non-negitive matrix by column rank normalization.

  2. Classify samples into consensus clusters.

  3. Determine differentially expressed marker proteins for each subtype.

Summary

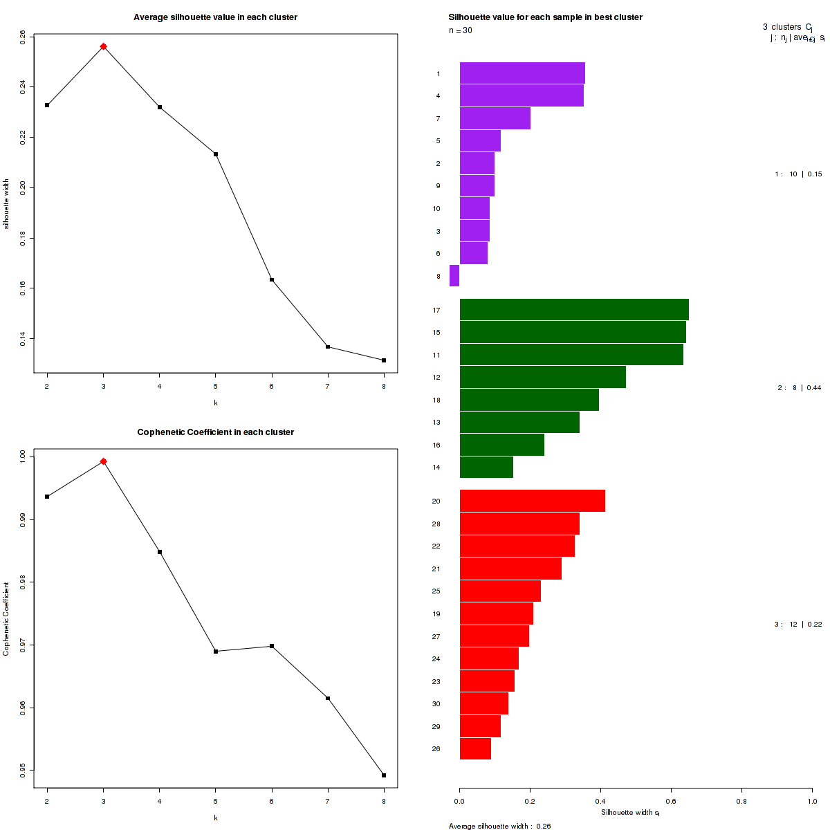
The most robust consensus NMF clustering of 30 samples using the 192 most variable proteins was identified for k = 3 clusters. We computed the clustering for k = 2 to k = 10 and uused the cophenetic correlation coefficient and the average silhouette width calculation to determine the robust clusters.

Results
Protein expression patterns of molecular subtypes

Figure 1.  Get High-res Image Samples were separated into 3 clusters. Shown are 30 samples and 239 marker proteins. The color bar of the row indicates the marker proteins for the corresponding cluster.

Figure 2.  Get High-res Image Heatmap with a standard hierarchical clustering for 30 samples and the 192 most variable proteins.

Silhouette widths, Cophenetic Correlation Coefficients and Consensus matrix

Figure 3.  Get High-res Image The silhouette width was calculated for each sample and each value of k. The left upper panel shows the average silhouette width across all samples for each tested k (left upper panel). The left lower panel shows the Cophenetic Correlation Coefficients for each tested k. The right panel shows assignments of clusters to samples and the silhouette width of each sample for the most robust clustering.

Figure 4.  Get High-res Image The consensus matrix after clustering shows 3 clusters with limited overlap between clusters.

Samples assignment with silhouette width

Table 1.  Get Full Table List of samples with 3 subtypes and silhouette width.

SampleName cluster silhouetteValue
TCGA-3X-AAV9-01A-81-A45N-20 1 0.36
TCGA-3X-AAVC-01A-31-A45N-20 1 0.63
TCGA-W5-AA2H-01A-21-A45N-20 1 0.1
TCGA-W5-AA2I-01A-41-A45N-20 1 0.21
TCGA-W5-AA2X-01A-21-A45N-20 1 0.47
TCGA-W5-AA31-01A-21-A45N-20 1 0.087
TCGA-W5-AA34-01A-21-A45N-20 1 0.35
TCGA-WD-A7RX-01A-21-A45N-20 1 0.41
TCGA-ZD-A8I3-01A-21-A45N-20 1 0.29
TCGA-ZH-A8Y1-01A-21-A45N-20 1 0.34

Table 2.  Get Full Table List of samples belonging to each cluster in different k clusters.

SampleName K=2 K=3 K=4 K=5 K=6 K=7 K=8
TCGA-3X-AAV9-01A-81-A45N-20 1 1 1 1 1 1 1
TCGA-3X-AAVA-01A-21-A45N-20 1 2 2 2 2 2 2
TCGA-W5-AA2G-01A-21-A45N-20 1 2 2 2 2 2 2
TCGA-W5-AA2H-01A-21-A45N-20 1 1 1 1 1 1 1
TCGA-W5-AA2I-01A-41-A45N-20 1 1 1 1 1 1 5
TCGA-W5-AA2R-01A-21-A45N-20 1 2 2 2 2 2 2
TCGA-W5-AA2U-01A-21-A45N-20 1 2 3 3 3 3 3
TCGA-W5-AA2X-01A-21-A45N-20 1 1 1 1 1 1 1
TCGA-W5-AA33-01A-21-A45N-20 1 2 2 2 2 2 2
TCGA-W5-AA34-01A-21-A45N-20 1 1 1 5 6 6 8
Marker proteins of each subtype

Samples most representative of the clusters, hereby called core samples were identified based on positive silhouette width, indicating higher similarity to their own class than to any other class member. Core samples were used to select differentially expressed marker proteins for each subtype by comparing the subclass versus the other subclasses, using Student's t-test.

Table 3.  Get Full Table List of marker proteins with p <= 0.05 (The positive value of column difference means protein is upregulated in this subtype and vice versa).

Composite.Element.REF p difference q subclass
HSPA1A|HSP70 0.000064 1.2 0.0045 1
MYH11|MYH11 0.036 0.95 0.15 1
FN1|FIBRONECTIN 0.013 0.93 0.076 1
MAPK14|P38_PT180_Y182 0.00041 0.77 0.0087 1
CCND1|CYCLIN_D1 0.00088 0.53 0.012 1
RICTOR|RICTOR_PT1135 0.0049 0.43 0.041 1
CASP7|CASPASE-7_CLEAVEDD198 0.016 0.41 0.087 1
NRG1|HEREGULIN 0.05 0.41 0.17 1
BID|BID 0.0075 0.39 0.057 1
MAP2K1|MEK1_PS217_S221 0.00097 0.39 0.012 1
Methods & Data
Input

The RPPA Level 3 data was protein measurements corrected by median centering across antibodies.

  • Input file for selecting top 192 genes = *.antibody_annotation.txt from RPPA_AnnotateWithGene

  • Input file for the clustering module = /xchip/cga/gdac-prod/tcga-gdac/jobResults/GDAC_TopgenesforCluster/CHOL-TP/22506787/CHOL-TP.expclu.gct

CNMF Method

Non-negative matrix factorization (NMF) is an unsupervised learning algorithm that has been shown to identify molecular patterns when applied to protein expression data , . Rather than separating protein clusters based on distance computation, NMF detects contextdependent patterns of protein expression in complex biological systems.

Cophenetic Correlation Coefficient and How to select the best cluster

We use the cophenetic correlation coefficients to determine the cluster that yields the most robust clustering. The cophenetic correlation coefficient is computed based on the consensus matrix of the CNMF clustering, and measures how reliably the same samples are assigned to the same cluster across many iterations of the clustering lgorithm with random initializations. The cophenetic correlation coefficients and average silhouette values are used to determine the k with the most robust clusterings. From the plot of cophenetic correlation versus k, we select modes and the the point preceding the greatest decrease in cophenetic correlation coefficient, and from these choose the k with the highest average silhouette value.

Silhouette Width

Silhouette width is defined as the ratio of average distance of each sample to samples in the same cluster to the smallest distance to samples not in the same cluster. If silhouette width is close to 1, it means that sample is well clustered. If silhouette width is close to -1, it means that sample is misclassified .

Download Results

In addition to the links below, the full results of the analysis summarized in this report can also be downloaded programmatically using firehose_get, or interactively from either the Broad GDAC website or TCGA Data Coordination Center Portal.

References
[1] Brunet, J.P., Tamayo, P., Golub, T.R. & Mesirov, J.P., Metagenes and molecular pattern discovery using matrix factorization, Proc Natl Acad Sci U S A 12(101):4164-9 (2004)
[3] Rousseeuw, P.J., Silhouettes: A graphical aid to the interpretation and validation of cluster analysis., J. Comput. Appl. Math. 20:53-65 (1987)
[5] RSEM