Clustering of RPPA data: consensus hierarchical
Stomach and Esophageal carcinoma (Primary solid tumor)
28 January 2016  |  analyses__2016_01_28
Maintainer Information
Citation Information
Maintained by Hailei Zhang (Broad Institute)
Cite as Broad Institute TCGA Genome Data Analysis Center (2016): Clustering of RPPA data: consensus hierarchical. Broad Institute of MIT and Harvard. doi:10.7908/C1HQ3ZCM
Overview
Introduction

This pipeline calculates clusters based on consensus hierarchical clustering with agglomerative ward linkage , . This pipeline has the following features:

  1. Classify samples into consensus clusters.

  2. Determine differentially expressed marker proteins for each subtype.

Summary

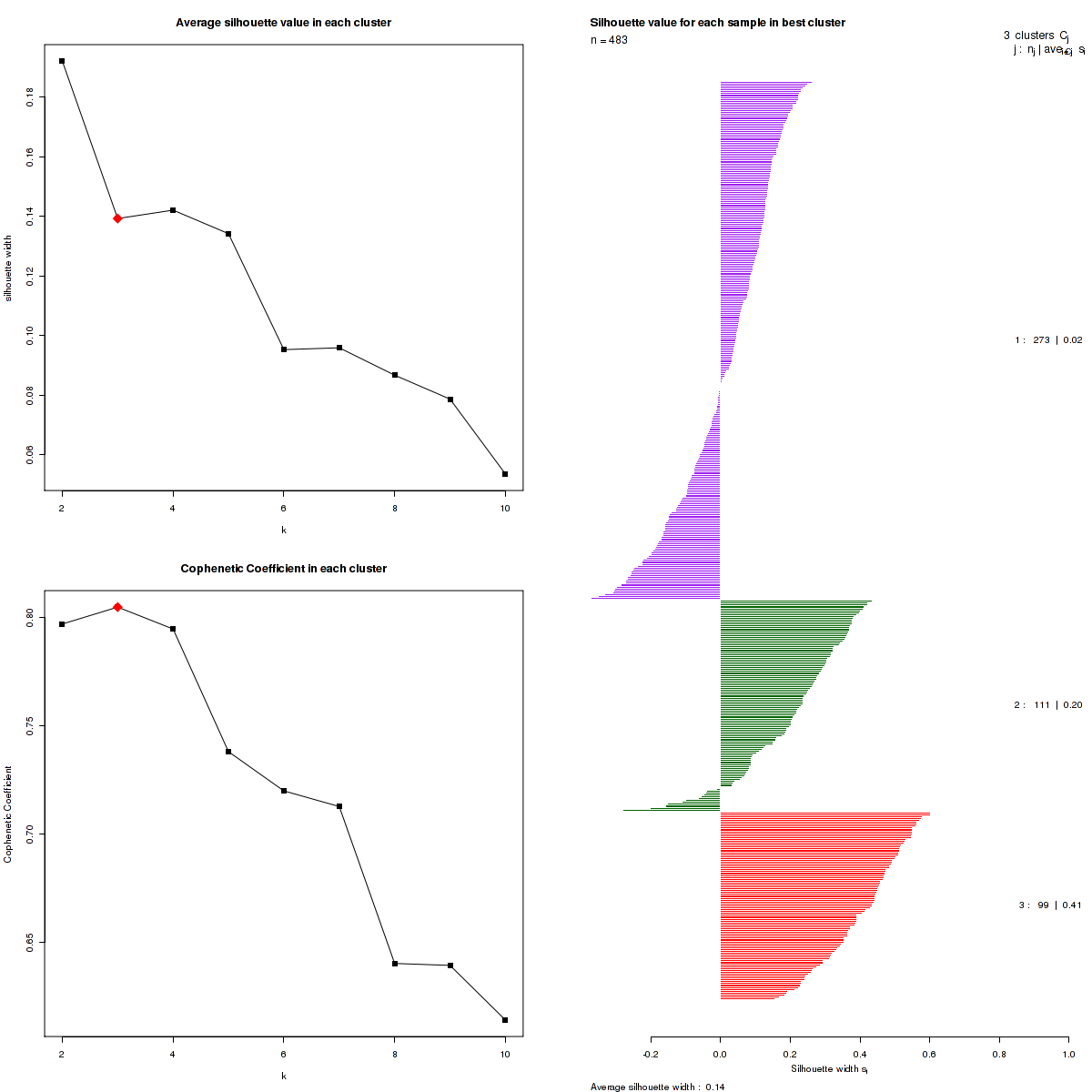
Median absolute deviation (MAD) was used to select 196 most variable proteins. Consensus ward linkage hierarchical clustering of 483 samples and 196 proteins identified 3 subtypes with the stability of the clustering increasing for k = 2 to k = 10.

Results
Protein expression patterns of molecular subtypes

Figure 1.  Get High-res Image Samples were separated into 3 clusters. Shown are 483 samples and 421 marker proteins. The color bar of the row indicates the marker proteins for the corresponding cluster.

Figure 2.  Get High-res Image Heatmap with a standard hierarchical clustering for 483 samples and the 196 most variable proteins.

Silhouette widths, Cophenetic Correlation Coefficients and Consensus matrix

Figure 3.  Get High-res Image The silhouette width was calculated for each sample and each value of k. The left upper panel shows the average silhouette width across all samples for each tested k (left upper panel). The left lower panel shows the Cophenetic Correlation Coefficients for each tested k. The right panel shows assignments of clusters to samples and the k silhouette width of each sample for the most robust clustering.

Figure 4.  Get High-res Image The consensus matrix after clustering shows 3 clusters with limited overlap between clusters.

Samples assignment with silhouette width

Table 1.  Get Full Table List of samples with 3 subtypes and silhouette width.

SampleName cluster silhouetteValue
TCGA-2H-A9GF-01A-21-A41Y-20 1 0.22
TCGA-2H-A9GL-01A-21-A41Y-20 1 0.18
TCGA-2H-A9GQ-01A-21-A41Y-20 1 -0.26
TCGA-2H-A9GR-01A-21-A41Y-20 1 -0.075
TCGA-3M-AB47-01A-11-A43D-20 1 0.11
TCGA-B7-A5TI-01A-21-A43D-20 1 0.051
TCGA-B7-A5TJ-01A-21-A43D-20 1 0.19
TCGA-B7-A5TK-01A-21-A43D-20 1 0.24
TCGA-BR-4183-01A-11-A286-20 1 -0.0085
TCGA-BR-4184-01A-21-A286-20 1 0.19

Table 2.  Get Full Table List of samples belonging to each cluster in different k clusters.

SampleName clu.2 clu.3 clu.4 clu.5 clu.6 clu.7 clu.8 clu.9 clu.10
TCGA-2H-A9GF-01A-21-A41Y-20 1 1 1 1 1 1 1 1 1
TCGA-2H-A9GI-01A-21-A41Y-20 1 2 2 2 2 2 2 2 2
TCGA-2H-A9GR-01A-21-A41Y-20 1 1 3 3 3 1 4 3 1
TCGA-3M-AB47-01A-11-A43D-20 1 1 3 5 4 6 6 8 8
TCGA-B7-5816-01A-11-A287-20 1 2 1 2 2 2 2 2 7
TCGA-B7-5818-01A-21-A287-20 1 2 2 2 2 2 2 2 2
TCGA-B7-A5TI-01A-21-A43D-20 1 1 1 1 1 1 4 3 1
TCGA-B7-A5TJ-01A-21-A43D-20 1 1 1 1 1 3 3 1 3
TCGA-B7-A5TK-01A-21-A43D-20 1 1 1 1 1 3 3 1 3
TCGA-B7-A5TN-01A-11-A43D-20 1 2 2 2 5 5 5 5 5
Marker proteins of each subtype

Samples most representative of the clusters, hereby called core samples were identified based on positive silhouette width, indicating higher similarity to their own class than to any other class member. Core samples were used to select differentially expressed marker proteins for each subtype by comparing the subclass versus the other subclasses, using Student's t-test.

Table 3.  Get Full Table List of marker proteins with p <= 0.05 (The positive value of column difference means protein is upregulated in this subtype and vice versa).

Composite.Element.REF p difference q subclass
CDH1|E-CADHERIN 4.4e-40 1.6 4.3e-38 1
CTNNB2|BETA-CATENIN 4.3e-35 1.4 1.9e-33 1
EIF4G1|EIF4G 1e-33 1 3.4e-32 1
RBM15|RBM15 9.3e-30 0.84 2.3e-28 1
STAT5A|STAT5-ALPHA 4e-20 0.82 4.6e-19 1
ERBB2|HER2 9.3e-17 0.81 6.9e-16 1
BAP1|BAP1-C-4 2.6e-41 0.74 5e-39 1
TP53BP1|53BP1 5.5e-33 0.71 1.5e-31 1
VHL|VHL 3.1e-08 0.7 1.1e-07 1
TSC2|TUBERIN 4.4e-25 0.7 7.7e-24 1
Methods & Data
Input

The RPPA Level 3 data was protein measurements corrected by median centering across antibodies.

  • Input file for selecting top 196 genes = *.antibody_annotation.txt from RPPA_AnnotateWithGene

  • Input file for the clustering module = /xchip/cga/gdac-prod/tcga-gdac/jobResults/GDAC_TopgenesforCluster/STES-TP/22507539/STES-TP.expclu.gct

Consensus Hierarchical Clustering

Consensus Hierarchical clustering is a resampling-based clustering. It provides for a method to represent the consensus across multiple runs of a clustering algorithm and to assess the stability of the discovered clusters. To this end, perturbations of the original data are simulated by resampling techniques. In our analysis, the R version of ConsensusClusterPlus(v1.18.0) was used , .

Silhouette Width

Silhouette width is defined as the ratio of average distance of each sample to samples in the same cluster to the smallest distance to samples not in the same cluster. If silhouette width is close to 1, it means that sample is well clustered. If silhouette width is close to -1, it means that sample is misclassified .

Cophenetic Correlation Coefficient and How to select the best cluster

The cophenetic correlation coefficient is computed as the Pearson correlation of two distance matrices:

  1. Distance between samples induced by the consensus matrix.

  2. Distance between samples induced by the linkage used in reordering the consensus matrix.

The cophenetic correlation coefficients and average silhouette values are used to determine the k with the most robust clusterings. From the plot of cophenetic correlation versus k, we select modes and the the point preceding the greatest decrease in cophenetic correlation coefficient, and from these choose the k with the highest average silhouette value.

Download Results

In addition to the links below, the full results of the analysis summarized in this report can also be downloaded programmatically using firehose_get, or interactively from either the Broad GDAC website or TCGA Data Coordination Center Portal.

References
[1] Monti, S., Tamayo, P., Mesirov, J. & Golub, T.R., Consensus Clustering: A Resampling-Based Method for Class Discovery and Visualization of Gene Expression Microarray Data, Machine Learning:91-118 (2003)
[2] Wilkerson M and Waltman P, ConsensusClusterPlus: ConsensusClusterPlus
[3] Rousseeuw, P.J., Silhouettes: A graphical aid to the interpretation and validation of cluster analysis., J. Comput. Appl. Math. 20:53-65 (1987)
[4] Brunet, J.P., Tamayo, P., Golub, T.R. & Mesirov, J.P., Metagenes and molecular pattern discovery using matrix factorization, Proc Natl Acad Sci U S A 12(101):4164-9 (2004)
[6] RSEM